Amaravati Railway Line Land Acquisition Notification - Errupalem to Namburu
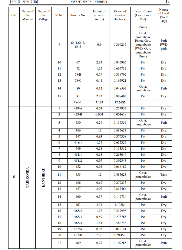
Details of the land, including villages and survey numbers, that need to be acquired for the construction of the Amaravati Railway Line.
Details of the land, including villages and survey numbers, that need to be acquired for the construction of the Amaravati Railway Line.
Comments
Post a Comment